Session 4: Branches

Track, organize and share your work: An introduction to Git for research

Course at Max Planck Institute for Human Development

Slides | Source

License: CC BY 4.0 DOI

12:00

1 Last session: Setup & First steps with Git

Last session: Learning objectives

After the last session, you should now be able to answer the following questions / do the following:

Setup

💡 You know how to set up Git for the first time
💡 You have set up Git on your computer
💡 You understand the difference between the three Git configuration levels
💡 You know how to configure your username and email address in Git
💡 You have set up your preferred text editor when working with Git
💡 You can escape the command-line text editor Vim

First steps with Git

💡 You can initialize a Git repository
💡 You can stage and commit changes
💡 You know how to explore the commit history
💡 You can compare different commits
💡 You know how to use and create a .gitignore file
💡 You can discuss which files can (not) be tracked well with Git and why
💡 You know how to track empty folders in Git repositories

Last session: recipes project

At the end of this session, you should have accomplished the following:

  1. You set up Git.
  2. You initialized your recipes folder as a Git repository.
  3. You committed your first recipe to the recipes repository.

Please keep the recipes folder! We will continue to use it in the following sessions.

2 This session: Branches

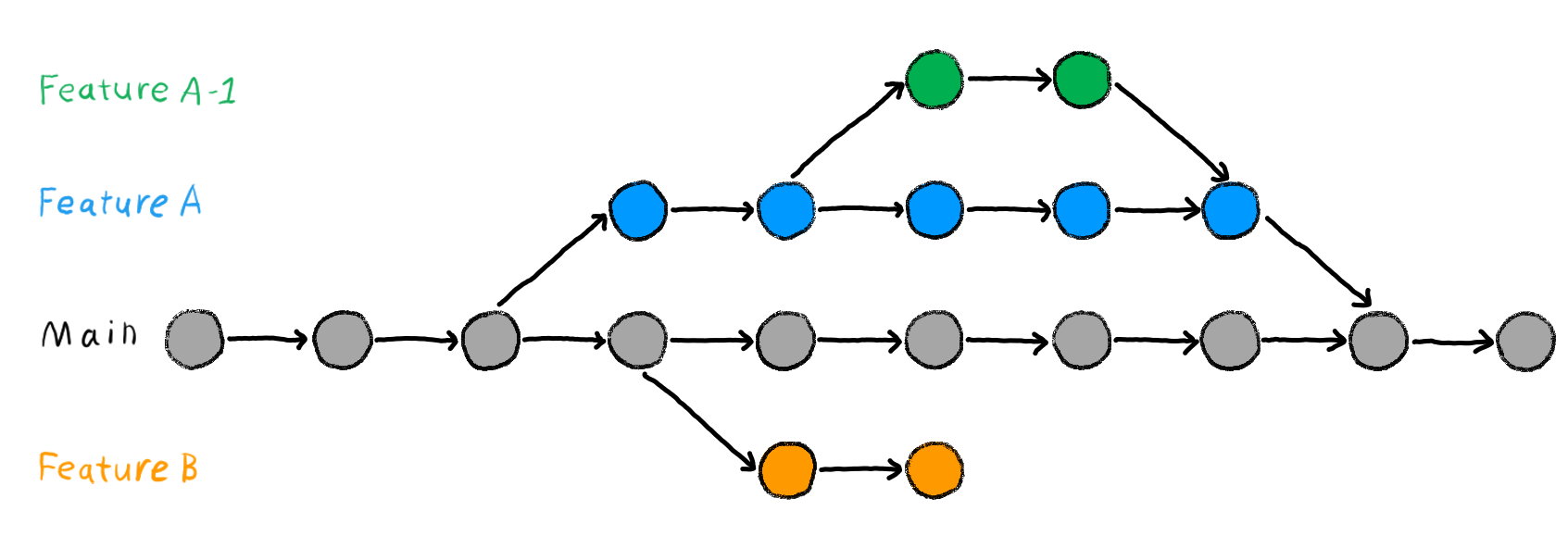
Branches

Figure 1: Image from Chapter “Git Branches” of the “The Turing Way handbook to reproducible, ethical and collaborative data science”, used under a Creative Commons Attribution 4.0 License.

Reading

https://lennartwittkuhn.com/version-control-book/chapters/branches.html

Learning objectives

💡 You understand the purpose and benefits of using branches in Git
💡 You can create and switch between branches
💡 You can merge branches and resolve merge conflicts
💡 You can name at least three best practices when working with branches

Cheatsheet

Command Description
git branch Lists / creates and deletes branches
git switch Switches between branches
git checkout Switches between branches
git merge Merges branches
git merge --abort Aborts a merge
git merge --squash Squaches commits on branch into a single commit and merge
git branch -d feature Deletes the feature branch
git stash Stores made changes for later use
git stash -m "stashing message" Stashes your changes and includes a message
git stash list Shows all of your stored stashes
git stash apply Applies your latest stash
git stash apply stash@{n} Applies a specific stash
git stash pop Applies your latest stash and removes it from stash list
git stash pop stash@{n} Applies a specific stash and removes it from stash list
git cherry-pick <commithash> Applies changes from <commithash>
git rebase Different way of integrating changes from two branches

Tasks

In this session, you will work on the following tasks:

  1. Reading: Read the chapter “Branches” in the Version Control Book.
  2. Implementation: Try out the commands in the chapter.
  3. Exercises: Work on the exercises for the recipes project.
  4. Quiz: Test your knowledge with the quiz.

As always:

  1. Try out the commands of this session and play around with them.
  2. Check whether you have achieved the learning objectives.
  3. Ask questions!
  4. Let’s git started!

recipes project

At the end of this session, you should have accomplished the following:

  1. You created a new branch and merged changes to your main branch
  2. You created and resolved a merge conflict

Please keep the recipes folder! We will continue to use it in the following sessions.

Exercises

1. Create and merge a branch

  1. Create a new branch called feature.
  2. Switch to the new branch.
  3. Add a new recipe to your recipes.txt file.
  4. Stage and commit the changes to your recipes.txt file on the feature branch.
  5. Switch back to the default branch (main or master).
  6. Merge the feature branch with your default branch.
  7. Delete the feature branch.

2. Create and resolve a merge conflict

  1. Deliberately create a merge conflict by editing the same section of a file on two separate branches and attempting to merge them. An example can be found in the Version Control Book chapter.
  2. Resolve the merge conflict.
  3. Delete the feature branch afterwards.