Session 5: Branches

Track, organize and share your work: An introduction to Git for research

Course at Max Planck Institute for Human Development

Slides | Source

License: CC BY 4.0 DOI

12:00

1 Last session

Last session: First steps with Git & Git Essentials

After the last session, you should now be able to answer the following questions / do the following:

First steps with Git

💡 You can initialize a Git repository.
💡 You can check the status of a Git repository.
💡 You understand the difference between the staging area and a commit.
💡 You can stage and commit changes.
💡 You understand the difference between a commit message and a description.

Git essentials

💡 You know how to explore the commit history.
💡 You can compare different commits.
💡 You know how to use and create a .gitignore file.
💡 You can discuss which files can (not) be tracked well with Git and why.
💡 You know how to track empty folders in Git repositories.

Last session: Cheatsheet

First steps with Git

Command Description
git init Initializes a folder as a Git repository
git status Shows Git tracking status of files in the repository
git add Adds file(s) to the staging area
git commit Commits staged files
git commit -m "commit message" Commits staged files with a commit message

Last session: Cheatsheet

Git essentials

Command Description
git log Views past commits
git diff Views made changes compared to the last commit
git mv Renames or moves files and automatically stages the changes

Last session: recipes project

First steps with Git

At the end of this session, you should have accomplished the following:

  1. You set up Git.
  2. You initialized your recipes folder as a Git repository.
  3. You committed your first file to the recipes repository.

Please keep the recipes folder! We will continue to use it in the following sessions.

Last session: recipes project

Git Essentials

At the end of this session, you should have accomplished the following:

  1. Commit at least three changes in recipes.txt.
  2. Make at least one commit using git commit --amend.
    • For example, add a a new entry without a title first, commit, then add a title and use git commit --amend to add the title change to the same commit.
  3. Create a .gitignore file.
    • Everyone: Create a random file that you want to ignore, for example image.jpg.
    • All macOS users: Let your repository ignore .DS_Store.
  4. 🚀 Optional: Commit .gitkeep in an otherwise empty directory.

Please keep the recipes folder! We will continue to use it in the following sessions.

Common questions from last session

“How can I make changes in a text (.txt) file?”

  • Remember: It’s just a regular text file on your computer.
  • Option 1: Use a regular text editor (e.g., TextEdit on macOS, Notepad++ on Windows, or others).
  • Option 2: Use vim directly from the command line (see chapter / session on “Setup”).
  • Option 3: Use command line commands like echo "My text" >> recipes.txt.

“I ran git commit but nothing happened?”

  • Maybe you forgot to run git add before?

“Remember to cd into your recipes project folder!”

  • Every time you open the command line, it starts at a default location (likely your home directory).
  • Check in which folder you are, using pwd (“print working directory”).
  • Use cd to move to your recipes project folder before you start running the Git commands.

Important note: Git repository in /user folder?

  • Please make sure that your recipes folder is in a suitable place (for example, in the Desktop, Documents folders or where you keep your course-related files, …) and not in your user directory!
  • You can check your current working directory by running pwd in your recipes folder.
  • Also: Always remember to cd into your repository before you execute Git commands!
  • If your recipes folder is in your user directory, please tell us and we can fix it.

Tip: To prevent ever creating a Git repository inside your user folder, you can use:

Code
touch ~/.git

Running git init in the user directory now results in a (desired) error:

Output
fatal: invalid gitfile format: /Users/user/.git

Thanks to Eamon Caddigan for the idea!

Staging and Committing

Staging:

  • Command: git add
  • Purpose: Preparing and organizing files before they are recorded in the repository’s history.

Committing:

  • Command: git commit -m "commit message"
  • Purpose: Saving the changes in the staged files to the repository’s history, creating a snapshot.

Source: git-scm.com

Source: Heidi Seibold

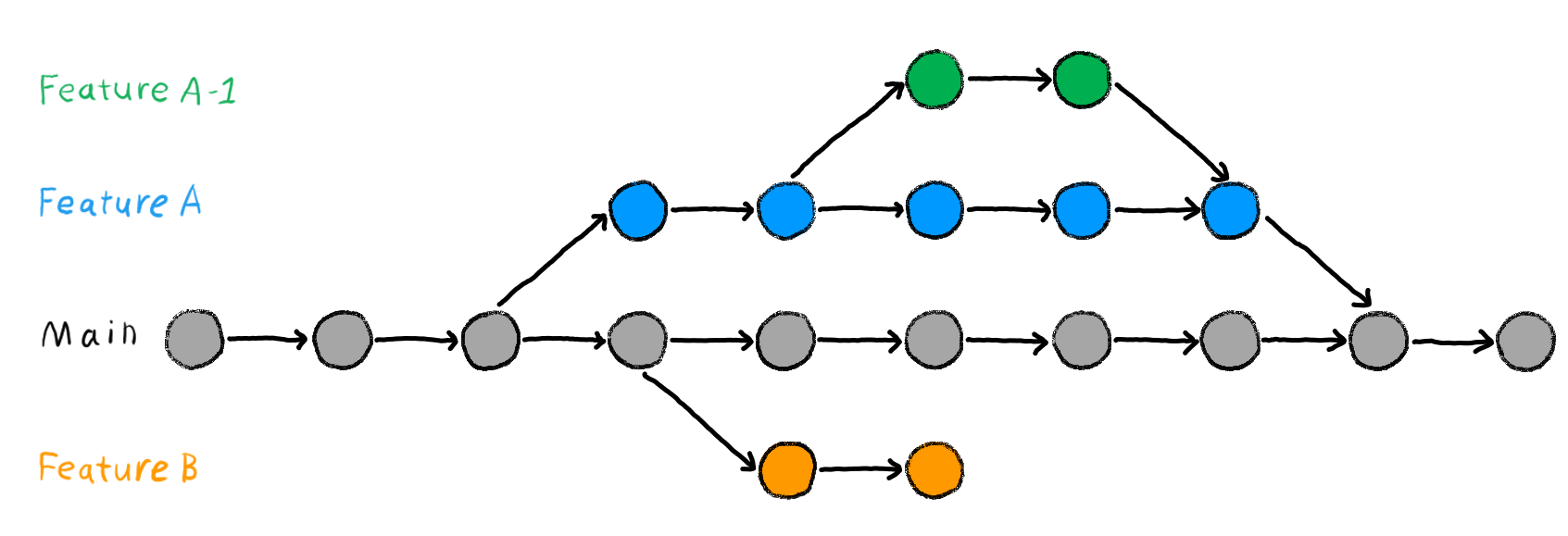
2 This session: Branches

This session: Branches

Figure 1: Image from Chapter “Git Branches” of the “The Turing Way handbook to reproducible, ethical and collaborative data science”, used under a Creative Commons Attribution 4.0 License.

Learning objectives

💡 You understand the purpose and benefits of using branches in Git.
💡 You can create and switch between branches.
💡 You can merge branches and resolve merge conflicts.
💡 You can name at least three best practices when working with branches.

Reading

“Branches”

Tasks

In this session, you will work on the following tasks:

  1. Reading: Read the chapter(s) “Branches” in the Version Control Book.
  2. Implementation: Try out the commands in the chapter.
  3. Exercises: Work on the exercises for the recipes project.
  4. Quiz: Test your knowledge with the quiz.

As always:

  1. Try out the commands of this session and play around with them.
  2. Check whether you have achieved the learning objectives.
  3. Ask questions!
  4. Let’s git started!

recipes project

At the end of this session, you should have accomplished the following:

  1. You created a new branch and merged changes into your default branch (main or master).
  2. You created and resolved a merge conflict.

Please keep the recipes folder! We will continue to use it in the following sessions.

Cheatsheet

Command Description
git branch Lists / creates and deletes branches
git branch feature Creates the feature branch
git branch -d feature Deletes the feature branch
git switch Switches between branches
git switch feature Switches to the feature branch
git checkout Switches between branches
git checkout -b feature Creates and switches to the feature branch
git merge Merges branches
git merge feature Merges the feature branch into the current branch
git merge --abort Aborts a merge
git merge --squash Squaches commits on branch into a single commit and merge
git stash Stashes changes for later use
git stash -m "stashing message" Stashes changes and includes a message
git stash list Shows stored stashes
git stash apply Applies the latest stash
git stash apply stash@{n} Applies a specific stash
git stash pop Applies the latest stash and removes it from stash list
git stash pop stash@{n} Applies a specific stash and removes it from stash list
git cherry-pick <commithash> Applies changes from <commithash>
git rebase Different way of integrating changes from two branches

Exercises

Branches

  1. If needed, navigate to the project repository using the command line.
  2. Create a new branch called feature.
  3. Switch to the new branch.
  4. Add a new entry to your project text file.
  5. Stage and commit the changes to the project text file on the feature branch.
  6. View the contents of project text file to verify your changes.
  7. Switch back to the default branch (main or master).
  8. View the contents of the project text file again to confirm that the previous changes do not exist on the default branch.
  9. Merge the feature branch into your default branch.
  10. Delete the feature branch.
  11. View the contents of project text file yet again to confirm that the previous changes have been merged into the default branch.

🚀 Bonus exercises

Create and resolve a merge conflict

  1. Deliberately create a merge conflict by editing the same section of a file on two separate branches and attempting to merge them. An example can be found in the branches chapter.
  2. Resolve the merge conflict.
  3. Delete the merged branch afterwards.

Solutions: Branches

Code
#!/bin/bash

1cd recipes
2git branch feature
3git switch feature
4cat >> recipes.txt <<- EOM

Potatoes

1. Wash the potatoes and cut them into evenly sized chunks.
2. Bring water to the boil in a large saucepan.
3. Once the water is boiling, add a good pinch of salt.
3. Add the potatoes.
4. Cook the potatoes for 15 - 20 minutes or until fork-tender.
5. Drain the pasta in a colander.
EOM
5git add recipes.txt
git commit -m "Add potatoes recipe to recipes.txt"
6cat recipes.txt
7git checkout main
8cat recipes.txt
9git merge feature
10git branch -d feature
11cat recipes.txt
1
Optional: Navigate into the project repository using cd (or a similar path).
2
Create a new branch called feature using git branch feature.
3
Switch to the new branch using git switch feature. You can also create and switch the branch in one step using git checkout -b feature.
4
Add a new entry to your project text file file. You can use your regular text editor. Here, we add a new entry from the command line using cat.
5
Stage and commit the changes to your project text file using git add and git commit.
6
View the contents of your project text file to verify your changes. Here, we use the cat command again.
7
Switch back to the default branch (main in this example). Here, we use git checkout main but you can also use git switch main.
8
View the contents of your project text file again to confirm that the previous changes do not exist on the main branch.
9
Merge the changes feature branch into the main branch.
10
Delete the merged feature branch using git branch -d feature.
11
View the contents of your project text file yet again to confirm that the previous changes have been merged into the main branch.

Solutions: Merge Conflict

Code
#!/bin/bash

1cd recipes
2git branch feature
3git switch feature
4cat >> recipes.txt <<- EOM

Chocolate Cake

1. Preheat the oven to 350°F (175°C).
2. Mix flour, sugar, cocoa powder, baking powder, and salt in a bowl.
3. Add eggs, milk, oil, and vanilla extract, and mix well.
4. Pour the batter into a greased baking pan.
5. Bake for 30-35 minutes.

EOM
5git add recipes.txt
git commit -m "Add chocolate cake recipe to recipes.txt"
6git checkout main
7cat >> recipes.txt <<- EOM

Vanilla Cake

1. Preheat the oven to 350°F (175°C).
2. Mix flour, sugar, baking powder, and salt in a bowl.
3. Add eggs, milk, oil, and vanilla extract, and mix well.
4. Pour the batter into a greased baking pan. 
5. Bake for 25-30 minutes.

EOM

8git add recipes.txt
git commit -m "Add vanilla cake recipe to recipes.txt"
9git merge feature
10sed -i '' -e '/^<<<<<<< /d' -e '/^=======/d' -e '/^>>>>>>> /d' recipes.txt
11git add recipes.txt
12git commit -m "Resolve merge conflict by adding both chocolate and vanilla cake recipes"
13git branch -d feature
1
Navigate into the recipes repository using cd (or a similar path).
2
Create a new branch called feature using git branch feature.
3
Switch to the new branch using git switch feature. You can also create and switch the branch in one step using git checkout -b feature.
4
Add a new recipe to your recipes.txt file using cat.
5
Stage and commit the changes to recipes.txt using git add and git commit.
6
Switch back to the default branch (main in this example) using git checkout main. You can also use git switch main.
7
Make conflicting changes in the main branch to recipes.txt using cat.
8
Stage and commit the conflicting changes to recipes.txt using git add and git commit.
9
Attempt to merge the feature branch with the default branch to create a merge conflict using git merge feature.
10
Resolve the merge conflict by editing recipes.txt. You can use a regular text editor to do this. In this example, we remove the conflict markers that Git added to recipes.txt using sed which results in keeping both recipes. This is not a recommended way to resolve merge conflicts and we only do it here to resolve the merge conflict without manual intervention. Merge conflicts usually always require manual resolution by the user.
11
Stage the resolved changes to recipes.txt using git add.
12
Commit the resolved changes in recipes.txt with a descriptive commit message using git commit.
13
Delete the merged feature branch using git branch -d feature.