Session 4: Branches

Track, organize and share your work: An introduction to Git for research

Course at General Psychology Lab at the University of Hamburg

Slides | Source

License: CC BY 4.0 DOI

11:30

1 Last session: Setup & First steps with Git

Last session: Learning objectives

After the last session, you should now be able to answer the following questions / do the following:

Setup

💡 You know how to set up Git for the first time
💡 You have set up Git on your computer
💡 You understand the difference between the three Git configuration levels
💡 You know how to configure your username and email address in Git
💡 You have set up your preferred text editor when working with Git
💡 You can escape the command-line text editor Vim

First steps with Git

💡 You can initialize a Git repository
💡 You can stage and commit changes

🚀 Optional: Git essentials

💡 You know how to explore the commit history
💡 You can compare different commits
💡 You know how to use and create a .gitignore file
💡 You can discuss which files can (not) be tracked well with Git and why
💡 You know how to track empty folders in Git repositories

Last session: recipes project

At the end of this session, you should have accomplished the following:

  1. You set up Git.
  2. You initialized your recipes folder as a Git repository.
  3. You committed your first recipe to the recipes repository.

Please keep the recipes folder! We will continue to use it in the following sessions.

2 This session: Branches

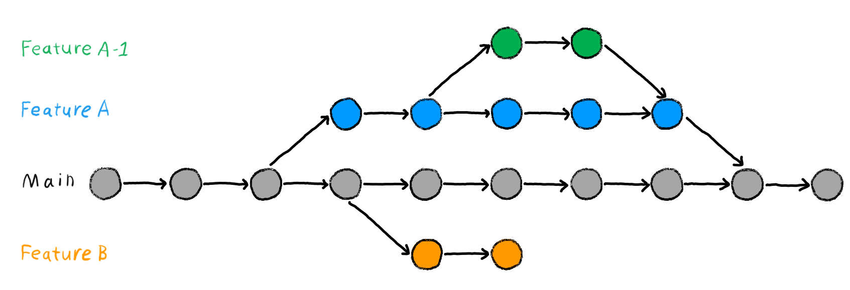
Branches

Figure 1: Image from Chapter “Git Branches” of the “The Turing Way handbook to reproducible, ethical and collaborative data science”, used under a Creative Commons Attribution 4.0 License.

Reading

https://lennartwittkuhn.com/version-control-book/chapters/branches.html

Learning objectives

💡 You understand the purpose and benefits of using branches in Git.
💡 You can create and switch between branches.
💡 You can merge branches and resolve merge conflicts.
💡 You can name at least three best practices when working with branches.

Cheatsheet

Command Description
git branch Lists / creates and deletes branches
git branch feature Creates the feature branch
git branch -d feature Deletes the feature branch
git switch Switches between branches
git switch feature Switches to the feature branch
git checkout Switches between branches
git checkout -b feature Creates and switches to the feature branch
git merge Merges branches
git merge feature Merges the feature branch into the current branch
git merge --abort Aborts a merge
git merge --squash Squaches commits on branch into a single commit and merge
git stash Staches changes for later use
git stash -m "stashing message" Stashes changes and includes a message
git stash list Shows stored stashes
git stash apply Applies the latest stash
git stash apply stash@{n} Applies a specific stash
git stash pop Applies the latest stash and removes it from stash list
git stash pop stash@{n} Applies a specific stash and removes it from stash list
git cherry-pick <commithash> Applies changes from <commithash>
git rebase Different way of integrating changes from two branches

Tasks

In this session, you will work on the following tasks:

  1. Reading: Read the chapter “Branches” in the Version Control Book.
  2. Implementation: Try out the commands in the chapter.
  3. Exercises: Work on the exercises for the recipes project.
  4. Quiz: Test your knowledge with the quiz.

As always:

  1. Try out the commands of this session and play around with them.
  2. Check whether you have achieved the learning objectives.
  3. Ask questions!
  4. Let’s git started!

recipes project

At the end of this session, you should have accomplished the following:

  1. You created a new branch and merged changes to your default branch.
  2. 🚀 Optional: You created and resolved a merge conflict.

Please keep the recipes folder! We will continue to use it in the following sessions.

Exercises

Create and merge a new branch

  1. If needed, navigate to the recipes repository using the command line.
  2. Create a new branch called feature.
  3. Switch to the new branch.
  4. Add a new recipe to your recipes.txt file.
  5. Stage and commit the changes to the recipes.txt file on the feature branch.
  6. View the contents of recipes.txt to verify your changes.
  7. Switch back to the default branch (main or master).
  8. View the contents of recipes.txt again to confirm that the previous changes do not exist on the default branch.
  9. Merge the feature branch into your default branch.
  10. Delete the feature branch.
  11. View the contents of recipes.txt yet again to confirm that the previous changes have been merged into the default branch.

🚀 Bonus exercises

Create and resolve a merge conflict

  1. Deliberately create a merge conflict by editing the same section of a file on two separate branches and attempting to merge them. An example can be found in the branches chapter.
  2. Resolve the merge conflict.
  3. Delete the merged branch afterwards.

Solutions: Branches

Code
#!/bin/bash

cd recipes # <1>
git branch feature # <2>
git switch feature # <3>
cat >> recipes.txt <<- EOM # <4>

Potatoes

1. Wash the potatoes and cut them into evenly sized chunks.
2. Bring water to the boil in a large saucepan.
3. Once the water is boiling, add a good pinch of salt.
3. Add the potatoes.
4. Cook the potatoes for 15 - 20 minutes or until fork-tender.
5. Drain the pasta in a colander.
EOM
git add recipes.txt # <5>
git commit -m "Add potatoes recipe to recipes.txt" # <5>
cat recipes.txt # <6>
git checkout main # <7>
cat recipes.txt # <8>
git merge feature # <9>
git branch -d feature # <10> 
cat recipes.txt # <11>
  1. Optional: Navigate into the recipes repository using cd (or a similar path).
  2. Create a new branch called feature using git branch feature.
  3. Switch to the new branch using git switch feature. You can also create and switch the branch in one step using git checkout -b feature.
  4. Add a new recipe to your recipes.txt file. You can use your regular text editor. Here, we add a new recipe from the command line using cat.
  5. Stage and commit the changes to recipes.txt using git add and git commit.
  6. View the contents of recipes.txt to verify your changes. Here, we use the cat command again.
  7. Switch back to the default branch (main in this example). Here, we use git checkout main but you can also use git switch main.
  8. View the contents of recipes.txt again to confirm that the previous changes do not exist on the main branch.
  9. Merge the changes feature branch into the main branch.
  10. Delete the merged feature branch using git branch -d feature.
  11. View the contents of recipes.txt yet again to confirm that the previous changes have been merged into the main branch.

Solutions: Merge Conflict

Code
#!/bin/bash

cd recipes # <1>
git branch feature # <2>
git switch feature # <3>
cat >> recipes.txt <<- EOM # <4>

Chocolate Cake

1. Preheat the oven to 350°F (175°C).
2. Mix flour, sugar, cocoa powder, baking powder, and salt in a bowl.
3. Add eggs, milk, oil, and vanilla extract, and mix well.
4. Pour the batter into a greased baking pan.
5. Bake for 30-35 minutes.

EOM
git add recipes.txt # <5>
git commit -m "Add chocolate cake recipe to recipes.txt" # <5>
git checkout main # <6>
cat >> recipes.txt <<- EOM # <7>

Vanilla Cake

1. Preheat the oven to 350°F (175°C).
2. Mix flour, sugar, baking powder, and salt in a bowl.
3. Add eggs, milk, oil, and vanilla extract, and mix well.
4. Pour the batter into a greased baking pan. 
5. Bake for 25-30 minutes.

EOM

git add recipes.txt # <8>
git commit -m "Add vanilla cake recipe to recipes.txt" # <8>
git merge feature # <9>
sed -i '' -e '/^<<<<<<< /d' -e '/^=======/d' -e '/^>>>>>>> /d' recipes.txt # <10>
git add recipes.txt # <11>
git commit -m "Resolve merge conflict by adding both chocolate and vanilla cake recipes" # <12> 
git branch -d feature # <13> 
  1. Navigate into the recipes repository using cd (or a similar path).
  2. Create a new branch called feature using git branch feature.
  3. Switch to the new branch using git switch feature. You can also create and switch the branch in one step using git checkout -b feature.
  4. Add a new recipe to your recipes.txt file using cat.
  5. Stage and commit the changes to recipes.txt using git add and git commit.
  6. Switch back to the default branch (main in this example) using git checkout main. You can also use git switch main.
  7. Make conflicting changes in the main branch to recipes.txt using cat.
  8. Stage and commit the conflicting changes to recipes.txt using git add and git commit.
  9. Attempt to merge the feature branch with the default branch to create a merge conflict using git merge feature.
  10. Resolve the merge conflict by editing recipes.txt. You can use a regular text editor to do this. In this example, we remove the conflict markers that Git added to recipes.txt using sed which results in keeping both recipes. This is not a recommended way to resolve merge conflicts and we only do it here to resolve the merge conflict without manual intervention. Merge conflicts usually always require manual resolution by the user.
  11. Stage the resolved changes to recipes.txt using git add.
  12. Commit the resolved changes in recipes.txt with a descriptive commit message using git commit.
  13. Delete the merged feature branch using git branch -d feature.