| No | Date | Title | Contents | Reading | Survey/Quiz |
|---|---|---|---|---|---|
| 1 | 2024-10-18 | Introduction to version control | Organizational matters Overview of seminar sessions Introduction to version control Introduction to Git and its advantages |
Intro to version control | Course introduction Survey |
| 2 | 2024-10-25 | Command line | File Systems Benefits of the Command Line Basic Command Line commands |
Command Line | Command Line Quiz |
| 3 | 2024-11-01 | Setup + Git Fundamentals | Installation and configuration of Git Initializing a Git repository Basic Git commands |
Installation, Setup, First steps with Git | Installation Survey, Git Basics Quiz |
| 4 | 2024-11-08 | Basic Git workflow | Practicing basic Git commands Ignoring files with .gitignore Good commit messages |
First steps with Git | Git Basics Quiz |
| 5 | 2024-11-15 | Git Essentials (Repetition & Practice) | Practicing basic Git commands Ignoring files with .gitignore Good commit messages |
Git Essentials | Git Basics Quiz |
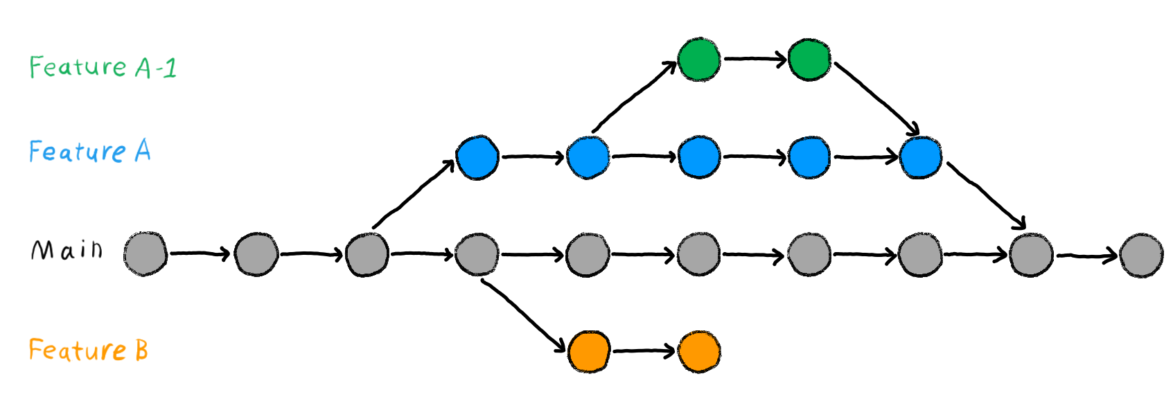
| 6 | 2024-11-22 | Git Branching and Merging | Understanding branches in Git Creating and switching between branches Merging branches Resolving merge conflict |
Branches | Git Branches Quiz |
| 7 | 2024-11-29 | Quarto Workshop | Introduction to Quarto | ||
| 8 | 2024-12-06 | Introduction to GitHub | Introduction to remote repositories Creating a GitHub account Creating and managing repositories on GitHub Pushing and pulling changes |
GitHub Intro | GitHub Quiz |
| 9 | 2024-12-13 | GitHub with collaborators | Cloning a remote repository Branching and merging in a collaborative environment Pull Requests GitHub Issues Graphical User Interfaces (GUIs), e.g., GitKraken |
GitHub Intro, GitHub Issues | GitHub Quiz |
| 10 | 2024-12-20 | Repetition and Practice | Repetition and Practice | ||
| 11 | 2025-01-10 | Git(Hub) with the world | Forking a remote repository README files Project Management |
GitHub Advanced, GitHub Issues | GitHub Quiz |
| 12 | 2025-01-17 | Publishing | Creating Tags with Git Creating Releases with GitHub Zenodo for publishing |
Tags and Releases | |
| 13 | 2025-01-24 | Graphical User Interfaces | Course evaluation Repetition and practice Intro to Graphical User Interfaces |
Graphical User Interfaces | |
| 14 | 2025-01-31 | Summary & Outlook | Course evaluation results ✨ Surprise ✨ Summary & Outlook |




